Οι επικεφαλής των αντιπροσωπειών ήξεραν από τις 25 Σεπτεμβρίου ότι ο μήνας θα κλείσει με μεγάλη άνοδο. Πριν ακόμη ο Σύνδεσμος Εισαγωγέων Αντιπροσώπων Αυτοκινήτων (ΣΕΑΑ) δώσει στη δημοσιότητα τις τελικές ταξινομήσεις είχαμε στις 6 Οκτωβρίου ανακοινώσει αυτή την άνοδο. Σχετικό θέμα https://www.zougla.gr/automoto/automoto-news/ta-nea-tis-piatsas-477/
Τελικά δεν πέσαμε έξω. Επιβεβαιωθήκαμε από τα πρωτογενή στοιχεία της ΕΛΣΤΑΤ και την επεξεργασία του ΣΕΑΑ. Οι ταξινομήσεις καινούργιων οχημάτων τον περασμένο μήνα ήταν εκπληκτικές.
Τον Σεπτέμβριο ταξινομήθηκαν 12.274 νέα οχήματα ενώ το αντίστοιχο διάστημα το 2024 οι ταξινομήσεις ήταν 9.661. Η αύξηση που προκύπτει είναι +27%. Ακόμη από την 1η Ιανουαρίου έως και την τελευταία ημέρα του Σεπτεμβρίου έχουν ταξινομηθεί φέτος 112.233 Ι.Χ ενώ το αντίστοιχο διάστημα το 2024 ήταν 108.035. Αυτό σημαίνει ότι το 2025 θα κλείσει με μεγαλύτερη άνοδο.

Δειλά δειλά αλλά σταθερά ανεβαίνουν και οι ταξινομήσεις στα ηλεκτρικά αυτοκίνητα είτε με κινητήρες BEV είτε με PHEV. Αξίζει να αναφέρουμε ότι το διάστημα Ιανουαρίου- Σεπτεμβρίου το 2024 είχαμε στα BEV 5.602 ταξινομήσεις ενώ το αντίστοιχο διάστημα φέτος οι ταξινομήσεις είναι 6.155. Στα PHEV το διάστημα Ιανουάριος- Σεπτέμβριος τα PHEV έφθασαν τις 6.063 ταξινομήσεις και η αύξηση είναι +31.10%.

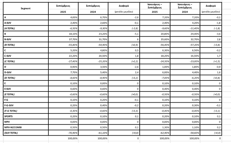
Για άλλη μια φορά τη μερίδα του λέοντος κέρδισε με ποσοστό 37.7% η κατηγορία B SUV και τη 2η θέση κατέλαβε η κατηγορία C SUV με 22.20%

Οι κινητήρες που επικράτησαν και αυτό το μήνα είναι οι υβριδικοί. Οι νέοι αγοραστές με ποσοστό 54.30%, προτίμησαν αυτοκίνητα που κάτω από το καπό τους έχουν υβριδικούς κινητήρες. Στη 2η θέση είναι οι κινητήρες αποκλειστικά με βενζίνη (21.20%) και στην 3η θέση βρίσκονται τα αυτοκίνητα με Plug in Hybrid κινητήρες με ποσοστό 9.40%

Σε επίπεδο ΕΕ, με βάση τα στοιχεία του Ευρωπαϊκού Συνδέσμου Κατασκευαστών Αυτοκινήτων (www.acea.be), η αγορά των επιβατικών κινήθηκε για τον Αύγουστο 2025 με μια μικρή άνοδο. Τον Αύγουστο του 2024 ταξινομήθηκαν 643.394 Ι.Χ ενώ φέτος ταξινομήθηκαν 677.786 Ι.Χ (αύξηση 5.30%).
