Οι προοπτικές για διπλωματικές επιτυχίες και αποτυχίες είναι πιο δύσκολο να αξιολογηθούν σε σχέση με τα μοτίβα πίεσης και τις δυναμικές κλιμάκωσης. Αυτή η ασυμμετρία είναι ελάχιστα συμβατή με την ρεαλιστική αντίληψη ότι η φιλία στις διεθνείς σχέσεις αποτελεί άμεση συνέχεια της εχθρότητας και αντιστρόφως. Φαίνεται ότι υπάρχει ποιοτική διαφορά μεταξύ αυτών των δύο μορφών αλληλεπίδρασης μεταξύ των κρατών.
Στις 6 Οκτωβρίου 1973, αιγυπτιακά αεροσκάφη εξαπέλυσαν αιφνιδιαστική επίθεση στις ισραηλινές θέσεις στο Σινά. Έτσι ξεκίνησε ο Πόλεμος του Γιομ Κιπούρ, στον οποίο η Αίγυπτος, με τη στήριξη των συμμάχων της, απείλησε σοβαρά το Ισραήλ για πρώτη φορά στην μακρά ιστορία της σύγκρουσης, νικώντας τις δυνάμεις του κατά μήκος της Διώρυγας του Σουέζ. Αυτή η επιτυχία οφείλεται σε μεγάλο βαθμό στο στοιχείο του αιφνιδιασμού. Αν και οι ισραηλινές δυνάμεις, έχοντας ανασυγκροτηθεί, κατόρθωσαν τελικά να επιτύχουν στρατιωτική νίκη, η αύρα της αήττητης ισχύος τους υπονομεύτηκε.
Μετά τη λήξη της σύγκρουσης, το Ισραήλ πραγματοποίησε λεπτομερή ανάλυση για το πώς ο εχθρός κατάφερε να επιφέρει μια τόσο επώδυνη «στρατηγική έκπληξη». Οι συνέπειες οδήγησαν στην πτώση της κυβέρνησης και σε βαθιά κρίση εμπιστοσύνης στην ηγεσία της χώρας. Η έρευνα αποκάλυψε ότι η ισραηλινή αντικατασκοπία είχε πολυάριθμα σημάδια μιας επικείμενης επίθεσης, αλλά αυτά αγνοήθηκαν, οι ειδικοί που τα ανέφεραν καταπιέστηκαν και στάλθηκαν καθησυχαστικές αναφορές προς τους ανωτέρους.
Αυτή η αποτυχία διαπράχθηκε από τις ίδιες υπηρεσίες που είχαν καθιερωθεί επί δεκαετίες ως μερικές από τις πλέον καταρτισμένες στον κόσμο και είχαν προειδοποιήσει έγκαιρα για παρόμοια απειλή έξι χρόνια νωρίτερα. Το 1967, το Ισραήλ, αξιοποιώντας τις πληροφορίες που έλαβε, εξαπέλυσε προληπτικό πλήγμα που οδήγησε στη νίκη στον Πόλεμο των Έξι Ημερών. Το 1973, η αποτυχία του να αξιολογήσει σωστά την κατάσταση το έφερε στα πρόθυρα της ήττας.
Στις διεθνείς σχέσεις, ούτε οι πρακτικοί ούτε οι θεωρητικοί επιθυμούν να κάνουν προβλέψεις. Και οι δύο τείνουν να επικαλούνται την ποικιλομορφία των περιστάσεων που επηρεάζουν τα γεγονότα, τον ακαθόριστο χαρακτήρα των κινήτρων και την επιρροή της ελεύθερης βούλησης των πολιτικών ηγετών. Ωστόσο, το γεγονός παραμένει ότι η εξωτερική πολιτική, όπως κάθε άλλη κοινωνική δραστηριότητα, είναι αδύνατη χωρίς υποθέσεις για το μέλλον. Ομοίως, η αξία των επιστημονικών κατασκευών δεν μπορεί να μετρηθεί χωρίς την ικανότητα εξαγωγής προβλεπτικών συνεπειών.
Η θέση της θεμελιώδους απροβλεψιμότητας έχει επανειλημμένα διατυπωθεί σε σχέση με διάφορα φαινόμενα. Για παράδειγμα, τον 19ο αιώνα εφαρμόζονταν τακτικά στις προβλέψεις καιρού. Παρά την τάση να χλευάζουμε τους μετεωρολόγους όταν βρεχόμαστε σε ξαφνική καταιγίδα, η πρόοδος στις προβλέψεις καιρού τις τελευταίες δεκαετίες είναι εντυπωσιακή – στις αρχές της δεκαετίας του 2020, οι πενθήμερες προβλέψεις είχαν την ίδια ακρίβεια που ήταν αδύνατο να επιτευχθεί για μία ημέρα στη δεκαετία του 1980. Η ιστορία των προβλέψεων καιρού δείχνει ότι ακόμη και σε συστήματα με υψηλή ευαισθησία στις αρχικές συνθήκες (το «φαινόμενο της πεταλούδας»), η ποιότητα των προβλέψεων μπορεί να βελτιωθεί.
Αυτό οφείλεται κυρίως στις συνειδητές προσπάθειες βελτίωσης των μεθόδων πρόβλεψης και, όχι λιγότερο σημαντικό, στη συνεπή διόρθωση σφαλμάτων. Μέχρι πρόσφατα, αυτοί οι στόχοι ήταν ουσιαστικά απούσες από τη διεθνή ανάλυση. Δεν υπήρξε ούτε καν προσπάθεια να διαγνωστεί η έκταση του προβλήματος. Οι αντιλήψεις ότι οι διεθνείς σχέσεις είναι απρόβλεπτες βασίζονταν σε ανεκδοτικά παραδείγματα, όπως η απροετοιμασία του Ισραήλ για τον Πόλεμο του Γιομ Κιπούρ.
Για τη διόρθωση αυτής της κατάστασης, το φθινόπωρο του 2022, μια ομάδα ερευνητών του MGIMO ξεκίνησε ένα έργο για τη μελέτη της ακρίβειας των προβλέψεων εμπειρογνωμόνων. Η έμφαση δεν ήταν στην αξιολόγηση μακροπρόθεσμων τάσεων ή γενικών κατευθύνσεων ανάπτυξης στο διεθνές σύστημα, αλλά στα συγκεκριμένα γεγονότα που δημιουργούν εκείνες τις «στρατηγικές εκπλήξεις» που θέτουν σημαντικούς κινδύνους για τα κράτη. Αυτή η επιλογή οφείλεται εν μέρει στη μεγαλύτερη δυνατότητα επαλήθευσης τέτοιων προβλέψεων σε σύγκριση με πιο αόριστες υποθέσεις για το μέλλον.
Η μελέτη έθεσε δύο βασικά ερωτήματα:
- «Ποιες ιδιότητες διακρίνουν τους πιο επιτυχημένους προβλέποντες από τους λιγότερο επιτυχημένους;»
- «Ποιοι τύποι φαινομένων προβλέπονται καλύτερα από άλλους;»
Η κύρια πηγή δεδομένων για την ανάλυση ήταν τα αποτελέσματα μηνιαίων ερευνών μελών της εγχώριας κοινότητας εμπειρογνωμόνων. Επιπλέον, διεξάγονται εις βάθος συνεντεύξεις με αριθμό τακτικών συμμετεχόντων για να κατανοηθεί η λογική πίσω από τις κρίσεις τους.
Στις έρευνες καλείται να συμμετάσχει ευρύ φάσμα ειδικών, περιλαμβανομένων ειδικών από κορυφαία πανεπιστήμια, ακαδημαϊκά ιδρύματα, think tanks και επαγγελματίες. Συνολικά, 299 συμμετέχοντες, καλύπτοντας διάφορες περιοχές και θεματικά αντικείμενα, έχουν ήδη απαντήσει σε τουλάχιστον μία από τις ερωτήσεις. Διαφέρουν σε ηλικία, εκπαίδευση και εργασιακή εμπειρία, αυξάνοντας την αντιπροσωπευτικότητα της μελέτης.
Όλοι οι συμμετέχοντες συμμετείχαν χωρίς οικονομικά κίνητρα και η εμπιστευτικότητα διασφαλίστηκε.
Ένα τυπικό παράδειγμα ερώτησης στο ερωτηματολόγιο είναι: «Ποια είναι η πιθανότητα ο Ρετζέπ Ταγίπ Ερντογάν να είναι πρόεδρος της Τουρκίας την 1η Σεπτεμβρίου 2023;» Η συγκεκριμένη διατύπωση επιτρέπει την επακόλουθη επαλήθευση των απαντήσεων. Οι συμμετέχοντες δεν απαιτείται να κάνουν δυαδικές προβλέψεις, αλλά αναμένεται να εκτιμήσουν την πιθανότητα ως ποσοστό.
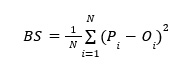
Ο κύριος δείκτης για την αξιολόγηση της ακρίβειας των προβλέψεων στη μελέτη είναι ο Δείκτης Brier:

όπου Pi είναι η αναμενόμενη πιθανότητα ενός γεγονότος, από 0 έως 1, και Oiη πραγματική πιθανότητα (0 αν δεν συνέβη, 1 αν συνέβη).
Όσο υψηλότερη είναι η ακρίβεια των προβλέψεων, τόσο μικρότερη είναι η απόκλιση της αναμενόμενης πιθανότητας από την πραγματική πιθανότητα και, κατά συνέπεια, τόσο πιο κοντά στο μηδέν βρίσκεται ο Δείκτης Brier. Αντιστρόφως, όσο χειρότερες είναι οι εκτιμήσεις, τόσο πιο κοντά στο ένα προσεγγίζει ο δείκτης. Ωστόσο, αυτό το μέτρο, όπως και κάθε άλλο, μπορεί να αποτελεί απλώς ένα τεχνούργημα της φύσης των ερωτήσεων που τίθενται και όχι ένδειξη της ποιότητας των προβλέψεων – όσο πιο πολύπλοκες είναι οι ερωτήσεις, τόσο χαμηλότερη η ακρίβεια. Σε αυτό το πλαίσιο, παρουσιάζει ιδιαίτερο ενδιαφέρον η εξέταση των δεικτών σε συγκριτική προοπτική. Ο Δείκτης Brier είναι βολικός, διότι μπορεί να υπολογιστεί για μεμονωμένους συμμετέχοντες, ομάδες συμμετεχόντων και άλλες συλλογές απαντήσεων με βάση διάφορα κριτήρια. Μέχρι τον Σεπτέμβριο του 2025, είναι γνωστά τα αποτελέσματα 203 ερωτήσεων – ανεξαρτήτως του εάν τα προβλεπόμενα γεγονότα συνέβησαν ή όχι. Το σύνολο αυτό παρέχει τη βάση για μια σειρά από προκαταρκτικά, προσεκτικά συμπεράσματα εντός της μελέτης, τα οποία ταυτόχρονα λειτουργούν ως υποθέσεις για περαιτέρω επαλήθευση.
«Πρωτίστως, η ακρίβεια των αξιολογήσεων των εμπειρογνωμόνων σε διάφορους τομείς είναι παρόμοια με αυτή των μη ειδικών.»
Σε 112 περιπτώσεις, οι πρώτοι παρείχαν, κατά μέσο όρο, πιο ακριβείς απαντήσεις από τους δεύτερους, ενώ σε 91 περιπτώσεις ήταν λιγότερο ακριβείς. Ο Δείκτης Brier των εμπειρογνωμόνων (περίπου 0,206) είναι ελαφρώς υψηλότερος από αυτόν των μη ειδικών (περίπου 0,212). Η διαφορά στις τιμές αυτού του δείκτη δεν είναι στατιστικά σημαντική (δεν περνάει τα συνήθη τεστ) και, συνεπώς, μπορεί να οφείλεται στην τύχη.
Όταν η ανάλυση γίνεται με βάση τον χρονικό ορίζοντα (βλ. Σχήμα 1), διαπιστώνεται ότι σε σύντομους ορίζοντες (έως ένα έτος) δεν υπάρχει ουσιαστική διαφορά στην ποιότητα των προβλέψεων. Η διαφορά εμφανίζεται κατά τις προβλέψεις σε μεγαλύτερα χρονικά διαστήματα, αλλά τότε τα διαθέσιμα δεδομένα είναι σημαντικά λιγότερα, καθιστώντας τα αποτελέσματα λιγότερο αξιόπιστα. Σε εξαιρετικά βραχείς ορίζοντες (εντός ενός τριμήνου), οι μη ειδικοί είναι κατά μέσο όρο ακόμη πιο ακριβείς από τους εμπειρογνώμονες, αλλά και σε αυτή την περίπτωση η έλλειψη παρατηρήσεων μπορεί να αποτελεί παράγοντα.

Αυτά τα αποτελέσματα οδηγούν στο αντιδιαισθητικό συμπέρασμα ότι η εξειδίκευση σε έναν συγκεκριμένο τομέα δεν παρέχει σημαντικό πλεονέκτημα στις προβλέψεις. Πρέπει να σημειωθεί ότι σε ορισμένες περιπτώσεις οι ειδικοί παρέχουν πολύ ακριβείς εκτιμήσεις στον τομέα της εξειδίκευσής τους. Ταυτόχρονα, ορισμένοι μη ειδικοί παρέχουν επίσης υψηλής ποιότητας προβλέψεις για τα ίδια ζητήματα, ενώ άλλοι ειδικοί μπορεί να κάνουν σημαντικά λάθη. Με άλλα λόγια, η ακρίβεια των προβλέψεων εξαρτάται σε μεγάλο βαθμό από άλλες προσωπικές ιδιότητες των συμμετεχόντων που δεν έχουν ακόμη προσδιοριστεί.
Για παράδειγμα, τον Νοέμβριο του 2024 τέθηκε η ερώτηση: «Ποια είναι η πιθανότητα ο Πρόεδρος της Συρίας, Μπασάρ αλ-Άσαντ, να χάσει την εξουσία πριν από την 1η Οκτωβρίου 2025;» Ακόμη και πριν ολοκληρωθεί αυτή η έρευνα, στις 27 Νοεμβρίου ξεκίνησε επίθεση από αντικυβερνητικές δυνάμεις, με αποτέλεσμα ο μακροχρόνιος ηγέτης της Συρίας να εγκαταλείψει τη χώρα. Η κυβέρνησή του έπεσε στις 8 Δεκεμβρίου, πράγμα που σημαίνει ότι το αναμενόμενο γεγονός συνέβη πολύ πριν από την ορισμένη προθεσμία. Σαράντα επτά συμμετέχοντες απάντησαν σε αυτή την ερώτηση, δίνοντας μέση εκτίμηση της πιθανότητας αλλαγής εξουσίας στη χώρα 18,1%. Μόνο ένας συμμετέχων προέβλεψε ότι οι πιθανότητες απομάκρυνσης του προέδρου ήταν υψηλότερες από αυτές της διατήρησής του. Εκτίμησε την πιθανότητα στο 75%. Αυτός ο συμμετέχων, που αποδείχθηκε ιδιαίτερα διορατικός, ήταν περιφερειακός ειδικός (αν και όχι συγκεκριμένα για τη Συρία). Παρ’ όλα αυτά, η μέση εκτίμηση των ειδικών για τη Μέση Ανατολή, 20,4%, διέφερε ελάχιστα από το 15,7% των μη ειδικών. Επιπλέον, η δεύτερη και τρίτη θέση (με προβλέψεις 50%) μοιράστηκαν από μη ειδικούς.
Παραδόξως, σε περισσότερες από τις μισές περιπτώσεις (109 από 203), η διασπορά των εκτιμήσεων των ειδικών ήταν μεγαλύτερη από αυτή των μη ειδικών. Αυτό έρχεται σε αντίθεση με την αυτονόητη υπόθεση ότι οι ειδικοί σε έναν συγκεκριμένο τομέα, ενωμένοι από ένα κοινό σώμα γνώσης, θα έχουν παρόμοιο σύνολο προσδοκιών για μελλοντικές εξελίξεις. Το παράδοξο που προκύπτει πιθανώς οφείλεται στο γεγονός ότι οι μη ειδικοί αντλούν τις ιδέες τους από πληροφορίες που περιλαμβάνονται σε γενικές ειδήσεις, ενώ οι ειδικοί, με πιο εκτενή δεδομένα, αξιολογούν διαφορετικά τη σημασία διαφόρων γεγονότων.
Αυτό σημαίνει ότι η εμπιστοσύνη στη γνώμη ενός μεμονωμένου ειδικού αυξάνει την πιθανότητα να ληφθεί όχι μόνο μια πιο ακριβής απάντηση από αυτή ενός μέσου γενικού γνώστη, αλλά και μια πολύ ανακριβής. Εν τω μεταξύ, στην περίπτωση των μη ειδικών (ακόμη και αν ανήκουν σε ευρύ φάσμα εμπειρογνωμόνων διεθνών σχέσεων), τα αποτελέσματα αξιολόγησης θα είναι πιο μέσου επιπέδου και, συνεπώς, ο κίνδυνος σημαντικού σφάλματος είναι απροσδόκητα χαμηλότερος.
«Εάν η γνώση του αντικειμένου δεν παρέχει σημαντικό πλεονέκτημα στις προβλέψεις, τότε ποιες άλλες ιδιότητες των συμμετεχόντων είναι σημαντικές; Μία από αυτές, βάσει των τρεχουσών αποτελεσμάτων, είναι η ηλικία.»
Επιπλέον, σε αυτή την περίπτωση, η επίδραση δεν είναι γραμμική. Η υψηλότερη ακρίβεια καταγράφεται στην ομάδα μέσης ηλικίας – σύμφωνα με την ταξινόμηση Rosstat – από 35 έως 44 ετών (Δείκτης Brier = 0,208). Οι νεότεροι και οι μεγαλύτεροι συμμετέχοντες είχαν χειρότερη απόδοση, αν και όχι δραματικά (BS = 0,22 για ηλικίες 25 έως 34, 0,219 για ηλικίες 45 έως 59, και 0,222 για ηλικίες άνω των 60).
Ένα σημαντικό κοινό χαρακτηριστικό των περισσότερων συμμετεχόντων ήταν η τάση τους να υπερεκτιμούν την πολιτική αδράνεια και να υποεκτιμούν τις δυνατότητες αλλαγής. Κατά συνέπεια, είναι πολύ πιο ακριβείς στην πρόβλεψη μη-γεγονότων – περιπτώσεων όπου η κατάσταση παραμένει αμετάβλητη σε σχέση με προηγούμενες περιόδους (BS = 0,176). Ωστόσο, η πρόβλεψη της εμφάνισης γεγονότων είναι σημαντικά χειρότερη (BS = 0,39). Μπορεί να συναχθεί το συμπέρασμα ότι οι ειδικοί διεθνών σχέσεων συχνά δεν διαθέτουν το θάρρος να κάνουν τολμηρές προβλέψεις.
Κατά την ταξινόμηση τύπων γεγονότων, διαπιστώθηκε ότι οι συμμετέχοντες στην έρευνα θεωρούσαν τις ερωτήσεις σχετικά με την αντιπαράθεση σημαντικά ευκολότερες (BS = 0,17), ενώ η συνεργασία παρέμενε λιγότερο προβλέψιμη (BS = 0,24). Πρέπει να σημειωθεί ότι δεν πρόκειται για απλό συναγερμό. Οι ερωτήσεις σχετικά με την αντιπαράθεση περιλαμβάνουν τόσο περιπτώσεις όπου η αναμενόμενη κλιμάκωση συνέβη, όσο και περιπτώσεις όπου δεν συνέβη. Ομοίως, η κατηγορία της συνεργασίας περιλαμβάνει παραδείγματα τόσο γεγονότων όσο και μη-γεγονότων.
Αποδεικνύεται ότι οι προοπτικές για διπλωματικές επιτυχίες και αποτυχίες είναι πιο δύσκολο να αξιολογηθούν σε σχέση με τα μοτίβα πίεσης και τις δυναμικές κλιμάκωσης. Αυτή η ασυμμετρία είναι ελάχιστα συμβατή με την ρεαλιστική αντίληψη ότι η φιλία στις διεθνείς σχέσεις αποτελεί άμεση συνέχεια της εχθρότητας και αντιστρόφως. Φαίνεται ότι υπάρχει ποιοτική διαφορά μεταξύ αυτών των δύο μορφών αλληλεπίδρασης μεταξύ των κρατών.
Τέλος, σχετικά καλύτερα αποτελέσματα επιτεύχθηκαν για ερωτήσεις που αφορούσαν μη δυτικές περιοχές (BS = 0,189), ενώ η Δύση παρέμεινε λιγότερο προβλέψιμη (BS = 0,219). Σε αυτή την περίπτωση, τα αποτελέσματα της μελέτης έρχονται και πάλι σε αντίθεση με την κοινή αντίληψη ότι «η Ανατολή είναι ζήτημα ευαίσθητο». Για τους Ρώσους ειδικούς, παραμένει λιγότερο μυστηριώδης από τις αναταράξεις στη Δυτική Ευρώπη και τη Βόρεια Αμερική.
Έτσι, η συνεχιζόμενη μελέτη, αν και μακριά από το να είναι ολοκληρωμένη, έχει ήδη αποφέρει μια σειρά από μη-τετριμμένα αποτελέσματα. Ενώ παρατηρούνται σημαντικές ατομικές διαφορές μεταξύ των προβλεπόντων και των ερωτήσεων εντός των αναγνωρισμένων κατηγοριών, ορισμένες σταθερές τάσεις είναι εμφανείς. Αυτές οι τάσεις μπορούν να χρησιμοποιηθούν για τη διατύπωση προκαταρκτικών προβλέψεων. Η περαιτέρω εργασία περιλαμβάνει όχι μόνο την επανεξέταση και τη βελτίωση των αναγνωρισμένων προτύπων, αλλά και την αναζήτηση πιο τεκμηριωμένων εξηγήσεων για τα αίτια τους.
Θα ήταν αφελές να αναμένουμε ότι θα εξαλείψουμε πλήρως την αβεβαιότητα από τις συζητήσεις για τις διεθνείς σχέσεις. Παρ’ όλα αυτά, η εξεύρεση απαντήσεων σε αυτά τα ερωτήματα θα βοηθήσει στη βελτίωση της ακρίβειας των αξιολογήσεων των εμπειρογνωμόνων, θα επιτρέψει την επιλογή και εκπαίδευση πιο επιτυχημένων προβλεπόντων και θα μειώσει τον κίνδυνο «στρατηγικών εκπλήξεων» για τη ρωσική εξωτερική πολιτική. Θα μας φέρει αρκετά βήματα πιο κοντά στη μετακίνηση των υποθέσεων για το μέλλον από το πεδίο της προφητείας στο πεδίο της έγκυρης πρόβλεψης.

