Ο μήνας που πέρασε, ο Σεπτέμβριος, είχε μια σημαντική μείωση στις ταξινομήσεις νέων αυτοκινήτων. Φέτος ταξινομήθηκαν 9.665 Ι.Χ ενώ τον αντίστοιχο μήνα το 2023 ταξινομήθηκαν 11.401 ΙΧ. Αυτό αν το μεταφράσουμε σε ποσοστά θα δούμε ότι υπάρχει μείωση -15.2%. Μείωση της τάξης -19.7% είχαμε και στις ταξινομήσεις των φορτηγών. Αντίθετα τα λεωφορεία παρουσίασαν αύξηση +476.5%. Και είναι λογικό αφού η κυβέρνηση υλοποιεί την υπόσχεσή της για αντικατάσταση του γερασμένου στόλου των λεωφορείων κυρίως αυτών που είναι ρυπογόνα.
Με βάση τα πρωτογενή στοιχεία της ΕΛΣΤΑΤ και την επεξεργασία του ΣΕΑΑ οι ταξινομήσεις καινούργιων οχημάτων τον περασμένο μήνα έχουν ως εξής:

Συγκρίνοντας το διάστημα από τον 9ο μήνα του 2023 και τον 9ο μήνα του 2024 βλέπουμε ότι υπάρχει αύξηση. Δηλαδή στο αντίστοιχο προηγούμενο διάστημα ταξινομήθηκαν 104.515 νέα ΙΧ ενώ το τρέχον διάστημα ταξινομήθηκαν 108.039. Αυτό μεταφράζεται σε αύξηση +3.4%

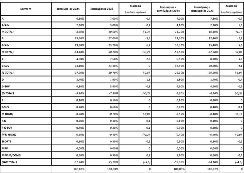
Αν μελετήσουμε τα στοιχεία που δίνει ο ΣΕΑΑ θα δούμε ότι και αυτό το μήνα οι αγοράστές προτίμησαν την B Total κατηγορία που έκανε ποσοστό 53.4% ενώ πέρυσι το αντίστοιχο διάστημα η B Total κατηγορία κινήθηκε σε ποσοστά 50.2%. Ακολουθεί η C Total κατηγορία με ποσοστό 27.9% ενώ η ίδια κατηγορία τον Σεπτέμβριο του 2023 είχε κάνει ποσοστά 30.7%

Το μάρκετινγκ κάνει καλή δουλειά. Υποστηρίζει τα υβριδικά αυτοκίνητα και λογικό είναι η κατηγορία αυτή να κερδίζει τις προτιμήσεις των υποψηφίων αγοραστών. Τα ποσοστά έφθασαν το 46.6% ενώ τα αυτοκίνητα με κινητήρες βενζίνης έφτασαν σε ποσοστά το 28.7%

Τα στοιχεία με τις ταξινομήσεις που δίνει η Ευρώπη αφορούν το μήνα Αύγουστο

(1) ΕΕ των 27.
(2) Μέλη της ΕΕ ως το 2004.
(3) Νορβηγία, Ισλανδία και Ελβετία.
