Ανάσα στις φυλακές με την ανακατανομή των κρατουμένων στα σωφρονιστικά καταστήματα, σύμφωνα με τα ευρωπαϊκά και διεθνή πρότυπα, επιχειρεί να δώσει εγκύκλιος του γενικού γραμματέα Αντεγκληματικής Πολιτικής Ευτύχη Φυτράκη.
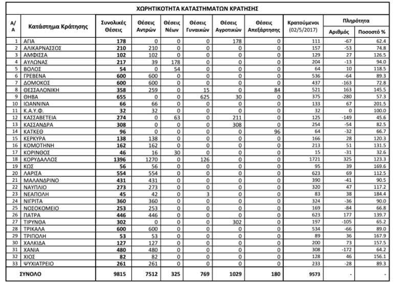
Φυλακές όπως αυτές των Ιωαννίνων, όπου η πληρότητα φτάνει το 201%, με τον αριθμό των κρατουμένων να είναι διπλάσιος από εκείνον που μπορεί να χωρέσει το σωφρονιστικό κατάστημα, καταδεικνύουν το εκρηκτικό πρόβλημα και την αναγκαιότητα άμεσων λύσεωνΜε γνώμονα έρευνα-μελέτη που πραγματοποιήθηκε, για πρώτη φορά, από τη Γενική Γραμματεία Αντεγκληματικής Πολιτικής του Υπουργείου Δικαιοσύνης αποτυπώνεται ο «χάρτης» των σωφρονιστικών καταστημάτων ανάλογα με τη χωρητικότητά τους, προκειμένου να υπάρξει αποσυμφόρηση των φυλακών, όπου οι κρατούμενοι υποχρεούνται να στοιβάζονται κάτω από απαράδεκτες συνθήκες κράτησης.
Φυλακές όπως αυτές των Ιωαννίνων, όπου η πληρότητα φτάνει το 201%, με τον αριθμό των κρατουμένων να είναι διπλάσιος από εκείνον που μπορεί να χωρέσει το σωφρονιστικό κατάστημα, καταδεικνύουν το εκρηκτικό πρόβλημα και την αναγκαιότητα άμεσων λύσεων. Η πληρότητα στις φυλακές Τριπόλεως φθάνει το 184,4%, ενώ ακολουθεί το σωφρονιστικό κατάστημα Τρικάλων με ποσοστό 167,9%.
Την ίδια ώρα όμως, κάποιες άλλες φυλακές φαίνεται να μην… έλκουν τις μεταγωγές και να παραμένουν στα… αζήτητα για τους κρατουμένους. Οι φυλακές Κορίνθου αποτελούν μία τέτοια περίπτωση, αφού η πληρότητα σ’ αυτές αγγίζει μόλις το 32,6%.
Σύμφωνα με τα στοιχεία της έρευνας, το πρόβλημα του υπερπληθυσμού των κρατουμένων εντοπίζεται κυρίως στις ανδρικές φυλακές.
Αναλυτικός πίνακας που αναρτήθηκε στον ιστότοπο του Υπουργείου Δικαιοσύνης και επικαιροποιείται τακτικά τόσο ως προς τον αριθμό των κρατουμένων όσο και ως προς τις διαθέσιμες θέσεις κράτησης δίνει την πραγματική εικόνα των φυλακών, συμβάλλοντας στη διαχείριση του πληθυσμού των εγκλείστων.
Με την εγκύκλιο του γενικού γραμματέα Αντεγκληματικής Πολιτικής Ευτ. Φυτράκη ενημερώνονται όλοι οι αρμόδιοι φορείς, μεταξύ των οποίων οι εισαγγελικές αρχές και η Διεύθυνση ΜεταγωγώνΜε την εγκύκλιο του γενικού γραμματέα Αντεγκληματικής Πολιτικής Ευτ. Φυτράκη ενημερώνονται όλοι οι αρμόδιοι φορείς, μεταξύ των οποίων οι εισαγγελικές αρχές και η Διεύθυνση Μεταγωγών, για τη μέγιστη χωρητικότητα των σωφρονιστικών καταστημάτων αλλά και την τυχόν αύξηση των θέσεων σ’ αυτά.
Με τον τρόπο αυτόν, θα είναι άμεσα δυνατό, στο πλαίσιο των αρμοδιοτήτων τους (φυλακίσεις, μεταγωγές), να διακριβώνονται οι διαθέσιμες θέσεις και εν γένει η πληρότητα κάθε καταστήματος κράτησης, ανά κατηγορία κρατουμένων για να ακολουθήσει η ορθότερη κατανομή τους.
«Για τον υπολογισμό της μέγιστης χωρητικότητας ελήφθησαν υπ’ όψιν, μεταξύ άλλων, τα ελάχιστα κριτήρια (4 τ.μ. ανά κρατούμενο σε κελί, 6 τ.μ. ανά πρώτο κρατούμενο, συν 4 τ.μ. για τον κάθε επόμενο κρατούμενο, σε θάλαμο, με τον θάλαμο να ορίζεται σε 15,9 τ.μ. και άνω) της Ευρωπαϊκής Επιτροπής για την Πρόληψη των Βασανιστηρίων και κάθε μορφής απάνθρωπης ή ταπεινωτικής μεταχείρισης ή τιμωρίας (CPT) του Συμβουλίου της Ευρώπης (CPT / Inf [2015] 44).
»Σημειώνεται ότι η διάθεση του ελάχιστου – απαραίτητου, ανά κρατούμενο, χώρου, σε συνδυασμό με τις λοιπές συνθήκες κράτησης, την παροχή ψυχοκοινωνικής στήριξης, δημιουργικής απασχόλησης, εκπαίδευσης και επιμόρφωσης των κρατουμένων αλλά και την ενίσχυση της σωφρονιστικής διοίκησης και την επιμόρφωση των προσωπικού, συνθέτει ένα πλέγμα αξιοπρεπών συνθηκών διαβίωσης που ανταποκρίνεται στα διεθνή και ευρωπαϊκά πρότυπα {Λευκή Βίβλος, European Committee on Crime Problems, European Prison Rules, Recommendation No. R (99) 22 της Επιτροπής Υπουργών του Συμβουλίου της Ευρώπης για τον υπερπληθυσμό στις φυλακές}. Η τήρηση των παραπάνω όρων, πλην των άλλων, θωρακίζει τη χώρα από τις επικρίσεις διεθνών οργανισμών αλλά και τις καταδίκες από το Ευρωπαϊκό Δικαστήριο Δικαιωμάτων του Ανθρώπου, με ιδιαίτερες ηθικές και οικονομικές συνέπειες. Η ορθή αποτύπωση της πραγματικής χωρητικότητας των καταστημάτων κράτησης σήμερα αναμένεται να συμβάλει στη διαχείριση του πληθυσμού των κρατουμένων, αποτελεί δε σημαντική πρόκληση για το σωφρονιστικό σύστημα αλλά και το σύστημα ποινικής δικαιοσύνης στο σύνολό του, τόσο για την εξασφάλιση της προστασίας των ανθρωπίνων δικαιωμάτων όσο και για την ασφάλεια των καταστημάτων κράτησης της χώρας» τονίζεται στη σχετική εγκύκλιο.
Από την έρευνα σε όλες τις φυλακές της χώρας βρέθηκαν 7.512 θέσεις για άνδρες, 325 θέσεις για νέους και ανηλίκους, 769 θέσεις για γυναίκες, 1.029 θέσεις σε αγροτικές φυλακές και 180 θέσεις για απεξάρτησηΑπό την έρευνα σε όλες τις φυλακές της χώρας βρέθηκαν 7.512 θέσεις για άνδρες, 325 θέσεις για νέους και ανηλίκους, 769 θέσεις για γυναίκες, 1.029 θέσεις σε αγροτικές φυλακές και 180 θέσεις για απεξάρτηση. Από τα στοιχεία αυτά προκύπτει ότι αν και οι θέσεις κράτησης σε φυλακές είναι συνολικά 9.815 (επί συνόλου κρατουμένων 9.573), υφίσταται υπερπλήρωση σε φυλακές κράτησης ενηλίκων ανδρών.
Η αποφυγή του υπερπληθυσμού στις φυλακές αποτελεί, όπως τονίζει το Υπουργείο Δικαιοσύνης, σταθερή επιδίωξη τόσο για την προστασία των ανθρωπίνων δικαιωμάτων όσο και για τη διατήρηση όρων ασφαλείας και εύρυθμης λειτουργίας σε αυτές. Η διάθεση του ελάχιστου, ανά κρατούμενο, χώρου, σε συνδυασμό με τις υπόλοιπες συνθήκες κράτησης, την παροχή ψυχοκοινωνικής στήριξης, δημιουργικής απασχόλησης, εκπαίδευσης των κρατουμένων αλλά και την ενίσχυση της σωφρονιστικής διοίκησης και την επιμόρφωση των προσωπικού, επιβάλλεται από διεθνή και ευρωπαϊκά πρότυπα, με στόχο την ομαλή επανένταξη και την πρόληψη της υποτροπής. Αποτελεί, άλλωστε κοινή παραδοχή ότι η ανθρώπινη και δίκαιη μεταχείριση των κρατουμένων συμβάλλει αποφασιστικά στην αντεγκληματική πολιτική.
Ακολουθεί αναλυτικός πίνακας με τη χωρητικότητα αλλά και την πιθανή διαθεσιμότητα στις φυλακές της χώρας:


