
Τέλος στην αγωνία των 116.173 υποψηφίων για την εισαγωγή τους στην τριτοβάθμια εκπαίδευση δόθηκε με την ανακοίνωση των βάσεων. Oι επιτυχόντες είναι 80.615, εκ των οποίων 15.000 ειδικών περιπτώσεων. Οι επιτυχόντες στα ΑΕΙ ανέρχονται σε 45.559 και στα ΤΕΙ σε 32.689.
Τα αποτελέσματα απεστάλησαν ηλεκτρονικά στις Διευθύνσεις Δευτεροβάθμιας Εκπαίδευσης, για να εκτυπωθούν ονομαστικές καταστάσεις των επιτυχόντων και να προωθηθούν στα σχολεία ευθύνης τους, στα οποία θα αναρτηθούν.
Οι ενδιαφερόμενοι μπορούν να πληροφορούνται τα αποτελέσματα μέσω της ιστοσελίδας του Υπουργείου Παιδείας http://results.minedu.gov.gr, πληκτρολογώντας τον οκταψήφιο κωδικό αριθμό τους και τα τέσσερα αρχικά γράμματα των προσωπικών τους στοιχείων (επώνυμο – όνομα – πατρώνυμο – μητρώνυμο). Επίσης, μπορείτε να δείτε τις βάσεις αναλυτικά στην ηλεκτρονική μας εφημερίδα.

Την ίδια ώρα, ανακοινώθηκαν τα αποτελέσματα των εισαγομένων στην
τριτοβάθμια εκπαίδευση με τις ειδικές κατηγορίες των αλλοδαπών-αλλογενών και των αποφοίτων λυκείων ή αντίστοιχων σχολείων κρατών-μελών της Ε.Ε. μη ελληνικής καταγωγής. Τα αποτελέσματα αναρτήθηκαν στην ιστοσελίδα του υπουργείου http://results.minedu.gov.gr.
Οι αθλητές που επιθυμούν να κάνουν χρήση των διατάξεων του άρθρου 34 του Ν.2725/1999, του άρθρου 18 του Ν.3708/2008 και του άρθρου 45 του Ν. 3773/09 (ΦΕΚ 120 τ.Α΄) για εισαγωγή στην τριτοβάθμια εκπαίδευση πρέπει να υποβάλουν σχετική αίτηση και τα προβλεπόμενα δικαιολογητικά στη Διεύθυνση Δευτεροβάθμιας Εκπαίδευσης, στην οποία υπάγεται το λύκειο αποφοίτησής τους, από τη Δευτέρα 03-9-2012 μέχρι και την Παρασκευή 14-9-2012. Υπενθυμίζεται ότι η σχετική εγκύκλιος Φ.151/63549/Β6/7-6-2012 (ΑΔΑ:Β4ΛΡ9-ΑΦΤ) είναι ήδη αναρτημένη στην ιστοσελίδα του υπουργείου (www.minedu.gov.gr στην ενότητα ΕΞΕΤΑΣΕΙΣ, υποενότητα ΑΘΛΗΤΕΣ, στο σημείο ΕΓΓΡΑΦΑ ΕΞΕΤΑΣΕΩΝ ΑΘΛΗΤΩΝ).
Οι πάσχοντες από σοβαρές παθήσεις, που έχουν αποκτήσει το πιστοποιητικό της πάθησής τους από τις αρμόδιες επταμελείς επιτροπές πιστοποίησης, για εισαγωγή στην τριτοβάθμια εκπαίδευση σε ποσοστό θέσεων 5%, θα κληθούν για την υποβολή του μηχανογραφικού τους δελτίου το δεύτερο 10ήμερο του Σεπτεμβρίου 2012 με ξεχωριστή εγκύκλιο.
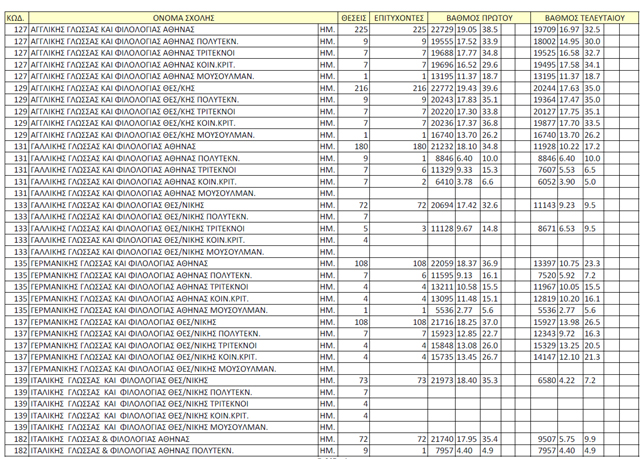
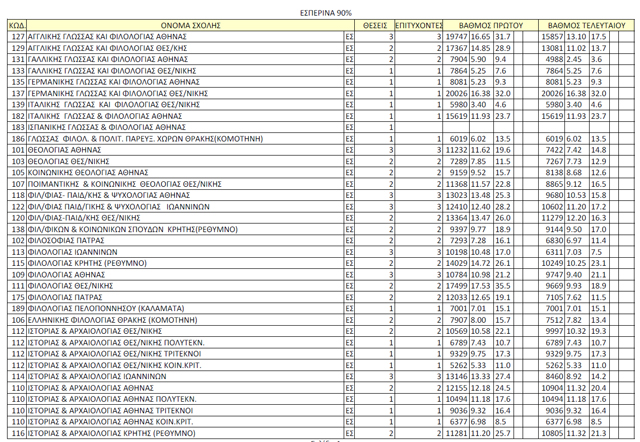
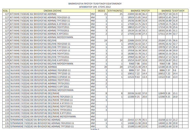
Αναλυτικά οι πίνακες των βάσεων
Αναλυτικά οι βάσεις εισαγωγής για τα ημερήσια και τα εσπερινά λύκεια

Ημερήσια Λύκεια

Εσπερινά Λύκεια
Πατήστε εδώ για να δείτε τη βαθμολογία πρώτου – τελευταίου εισαγόμενου αποφοίτου 10% για το 2012
Πίνακες ΕΠΑΛ Α Εσπερινά

ΕΠΑΛ Εσπερινά
Πίνακες ΕΠΑΛ Α Ημερήσια

ΕΠΑΛ Ημερήσια
Πατήστε εδώ για να δείτε συγκριτικά στοιχεία των βάσεων 2011-2012
Συγκριτικοί πίνακες 10%
Συγκριτικοί πίνακες 90%
Συνέντευξη Τύπου του υφυπουργού Παιδείας – Αυξημένα τα ποσοστά επιτυχίας
Συνέντευξη Τύπου παραχώρησε σήμερα στις 09.30 π.μ. ο υφυπουργός Παιδείας και Θρησκευμάτων Πολιτισμού και Αθλητισμού κ. Θεόδωρος Π. Παπαθεοδώρου σχετικά με τα αποτελέσματα εισαγωγής των μαθητών στην τριτοβάθμια εκπαίδευση.
Μεγαλύτερο είναι σε σχέση με πέρυσι το ποσοστό επιτυχίας στις Πανελλαδικές εξετάσεις, καθώς ανήλθε σε 69% από 62% το 2011.
Όπως ανακοίνωσε ο υφυπουργός Παιδείας, Θεόδωρος Παπαθεοδώρου, ο συνολικός αριθμός των υποψηφίων που υπέβαλαν μηχανογραφικά ήταν 116.173 άτομα και οι επιτυχόντες είναι 80.615, εκ των οποίων 15.000 ειδικών περιπτώσεων. Οι επιτυχόντες στα ΑΕΙ ανέρχονται σε 45.559 και στα ΤΕΙ σε 32.689.
Άνοδος των βαθμολογιών παρατηρείται στο πρώτο επιστημονικό πεδίο, όπως και στο δεύτερο πεδίο, στα τμήματα Φυσικής, Πληροφορικής και στις στρατιωτικές σχολές. Πτώση σημειώνεται στα τμήματα Χημείας. Άνοδος καταγράφεται επίσης στις ιατρικές σχολές, ενώ αυξομειώσεις παρατηρούνται στις πολυτεχνικές σχολές (άνοδος σε τμήματα του ΕΜΠ, μικρή πτώση σε άλλα τμήματα, αρχιτεκτονική και πολιτικούς μηχανικούς). Τέλος, άνοδος σημειώνεται στα οικονομικά τμήματα και τα τουριστικά τμήματα ΤΕΙ.
Περιζήτητες οι σχολές σε Αθήνα και Θεσσαλονίκη
Μεγάλος είναι ο ανταγωνισμός για τις σχολές της Αθήνας και της Θεσσαλονίκης, καθώς οι υποψήφιοι λαμβάνουν υπ’ όψιν τους πολύ σοβαρά το κόστος διαμονής μακριά από τον τόπο κατοικίας τους.
Η εντυπωσιακή άνοδος στις βάσεις των στρατιωτικών και αστυνομικών σχολών και η μεγάλη πτώση στις βάσεις των παιδαγωγικών σχολών είναι δύο από τα κύρια χαρακτηριστικά των φετινών βάσεων εισαγωγής στα ανώτατα και ανώτερα εκπαιδευτικά ιδρύματα της χώρας.
Ανοδικές τάσεις καταγράφονται στις σχολές με μεγάλη ζήτηση (ιατρικές και νομικές) τόσο σε Αθήνα και Θεσσαλονίκη όσο και στην περιφέρεια, ενώ μικτά κινούνται οι πολυτεχνικές σχολές.
Στο 3ο επιστημονικό πεδίο, άνοδο κατέγραψαν οι βάσεις σε Ιατρική, Οδοντιατρική και Φαρμακευτική, ενώ αξιοσημείωτο είναι το γεγονός ότι η βάση εισαγωγής στη Φαρμακευτική Θεσσαλονίκης είναι υψηλότερη από τη βάση εισαγωγής στη Φαρμακευτική Αθήνας.
Στις Πολυτεχνικές Σχολές παρουσιάζονται διαφορετικές κατευθύνσεις: πτώση στα αρχιτεκτονικά τμήματα και μικρή άνοδος σε ορισμένα βασικά τμήματα των αστικών κέντρων και της περιφέρειας, όπως ναυπηγών ΕΜΠ (+40 μόρια), Τεχνολογίας Υπολογιστών Πάτρας (+65 μόρια) και αντίθετα Πολιτικών Μηχανικών ΕΜΠ (-299), Μηχανικών Υπολογιστών Θεσσαλονίκης (-19 μόρια), Χημικών Μηχανικών ΕΜΠ (-44 μόρια).
Στο 5ο επιστημονικό πεδίο καταγράφεται άνοδος σε όλα τα τμήματα και ιδίως στα οικονομικά τμήματα, τα τμήματα διοίκησης επιχειρήσεων και στα τμήματα τουριστικών επαγγελμάτων.
Αυξητικές είναι οι τάσεις, τέλος, και στις σχολές που σχετίζονται με τις καλλιέργειες και τη γεωργία (γεωπονικές, φυτικής παραγωγής κ.λπ.).
Δεκάδες τμήματα των γενικών και ειδικών κατηγοριών ανοίγουν τις πύλες τους με λιγότερο από 10.000 μόρια, με το χαμηλότερο το τμήμα Κλωστοϋφαντουργίας ΤΕΙ Πειραιά (ειδικές κατηγορίες μουσουλμάνων) με 1.584 μόρια, δηλαδή με βαθμό 1.

