Του Π. Χαλάτση
Οι διευθυντές των εισαγωγικών εταιριών που είχαν πληροφορηθεί από τα δικά τους στοιχεία πως έκλεισε ο Οκτώβριος, ήταν ήρεμοι. Γιατί είναι διαφορετικά να κλείνει ο μήνας αρνητικός και διαφορετικά θετικός. Η καλή ποιότητα των νέων αυτοκινήτων που είναι φορτωμένα με ένα σωρό καλούδια σε συνδυασμό με τα δελεαστικά χρηματοδοτικά προγράμματα έπαιξαν σημαντικό ρόλο στην αύξηση των ταξινομήσεων τον δέκατο μήνα του χρόνου, σε σχέση πάντα με τους αριθμούς που είχαμε από την αντίστοιχη περυσινή περίοδο.
Με βάση τα πρωτογενή στοιχεία της ΕΛΣΤΑΤ και την επεξεργασία του ΣΕΑΑ οι ταξινομήσεις καινούργιων οχημάτων τον περασμένο μήνα παρουσίασαν αύξηση +11.4% ενώ από την αρχή του έτους μέχρι και τον Οκτώβριο του 2025 σε σχέση με το αντίστοιχο διάστημα του 2024, η αύξηση είναι +4.5%.
Τον Οκτώβριο 2025 ταξινομήθηκαν 10.768 αυτοκίνητα ενώ τον Οκτώβριο 2024 ταξινομήθηκαν 9.670 νέα αυτοκίνητα. Από εκεί προκύπτει η αύξηση του 11.4%.
Αν δούμε και συνολικά τι ταξινομήσεις έγιναν από την αρχή του έτους μέχρι και το τέλος Οκτωβρίου, πέρυσι είχαμε 117.705 νέες ταξινομήσεις και φέτος είχαμε 123.000, δηλαδή έχουμε σε σχέση με το 2024 + 4.5%

Ωστόσο πτώση έχουμε στην αγορά των ηλεκτρικών αυτοκινήτων. Πέρυσι είχαμε 918 ταξινομήσεις και φέτος 803 ταξινομήσεις, δηλαδή -12.5%
Αντίθετα στην κατηγορία των PHEV είχαμε μεγάλη αύξηση. Το 2024 είχαμε 750 και τον Οκτώβριο του 2025 έφτασαν τις 1313 ταξινομήσεις, δηλαδή αύξηση 75.1%.

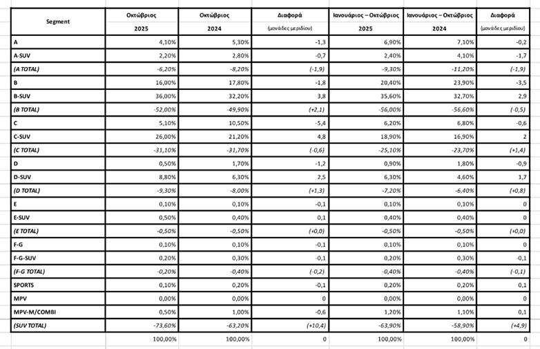
Και αυτό το μήνα η B κατηγορία έφτασε το 52% ενώ στη 2η θέση ακολουθεί η κατηγορία C με 31.1%. Το 2024 ήταν 31.7. Ελάχιστη η διαφορά.

Οι νέοι ιδιοκτήτες των αυτοκινήτων επέλεξαν και πάλι κινητήρες υβριδικούς. Το ποσοστό των HEV έφθασε το 52.4% ενώ τα αυτοκίνητα με Plugin Hybrid ήταν στην 3η θέση με 12.2%. Ανάμεσα στα HEV και Plugin Hybrid, τοποθετήθηκαν τα αυτοκίνητα με κινητήρες βενζίνης με 21.4%

Τέλος σε επίπεδο ΕΕ, με βάση τα στοιχεία του Ευρωπαϊκού Συνδέσμου Κατασκευαστών Αυτοκινήτων (www.acea.be), η αγορά των επιβατικών κινήθηκε για τον Σεπτέμβριο ως εξής:

(1) ΕΕ των 27. (2) Μέλη της ΕΕ ως το 2004. (3) Νορβηγία, Ισλανδία και Ελβετία.
