Επιμέλεια: Περικλής Χαλάτσης
Παρά το γεγονός ότι ή αύξηση στις ταξινομήσεις των Ι.Χ το μήνα Απρίλιο έκλεισε με +10.3% οι αντιπρόσωποι εκτιμούν ότι τα ποσοστά αυτά θα μπορούσε να ήταν ακόμη μεγαλύτερα αν υπήρχαν αυτοκίνητα στις εκθέσεις τους. Μπορεί η αγορά να ξεκίνησε να έχει ένα ρυθμό αλλά ακόμη τα προβλήματα στις γραμμές παραγωγής εξακολουθούν να υπάρχουν. Οι επικεφαλής των αντιπροσωπειών εκτιμούν οτι απο τον Νοέμβριο και μετά θα μπορούμε να πούμε ότι πλέον το πρόβλημα στον ανεφοδιασμό ξεπεράστηκε. Οι παραγγελίες είναι πάρα πολλές αλλά τα εργοστάσια δίνουν μετρημένα αυτοκίνητα.
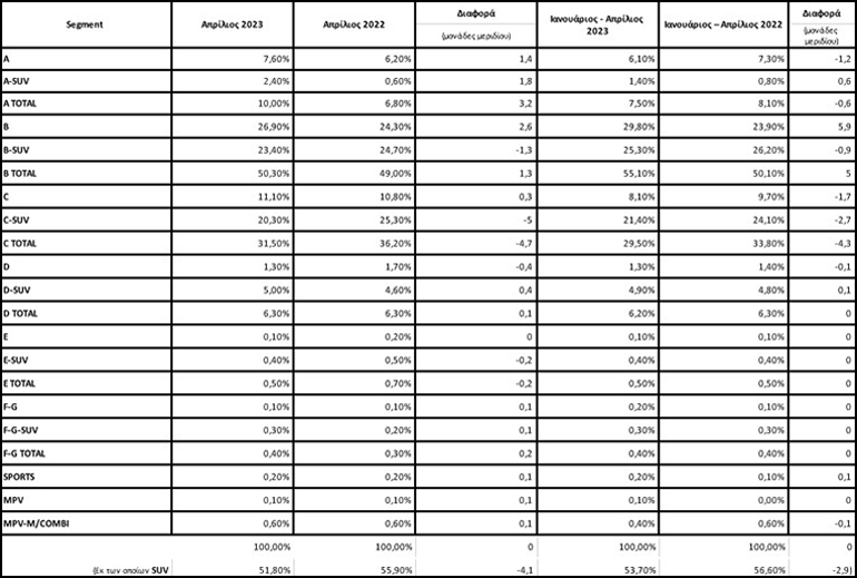
Σύμφωνα με τα πρωτογενή στοιχεία της ΕΛΣΤΑΤ και την επεξεργασία του ΣΕΑΑ οι ταξινομήσεις καινούργιων οχημάτων τον Απρίλιο 2023 έχουν ως εξής:

Από τον Ιανουάριο μέχρι τον Απρίλιος 2023 η αύξηση δείχνει να είναι μεγάλη και αυτό γιατί τους προηγούμενες μήνες οι ταξινομήσεις έφθασαν στα ύψη. Από τον Ιανουάριο έως τον Απρίλιο πέρυσι ταξινομήθηκαν 31.716 αυτοκίνητα ενώ το ίδιο διάστημα φέτος ταξινομήθηκαν 44.014 Ι.Χ
Τη μερίδα του λέοντος στις ταξινομήσεις πέτυχε για ακόμη μία φορά η B TOTAL κατηγορία με ποσοστό 50,3%. Σύμφωνα με πρώτους υπολογισμούς, η πρόοδος στα segments επιβατικών έχει ως εξής:

Τα αυτοκίνητα με κινητήρες βενζίνης κέρδισαν και πάλι στις ταξινομήσεις. Τη δεύτερη θέση κατέλαβαν τα αυτοκίνητα με υβριδικούς (HEV) κινητήρες.

