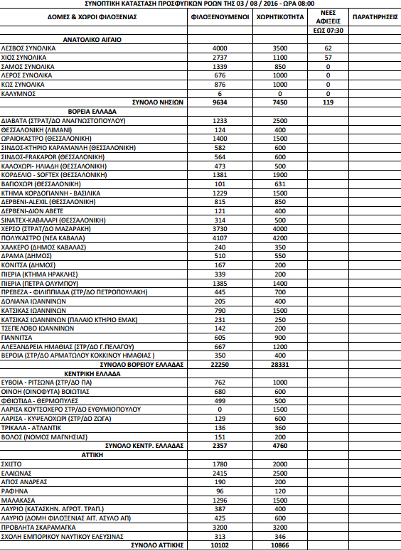
Συνολικά 57.034 πρόσφυγες και μετανάστες παραμένουν σε κέντρα φιλοξενίας ανά την ελληνική επικράτεια, σύμφωνα με τα στοιχεία που δόθηκαν στη δημοσιότητα το πρωί της Τετάρτης.
Αναλυτικά:


σχόλια αναγνωστών
oδηγός χρήσης

Συνολικά 57.034 πρόσφυγες και μετανάστες παραμένουν σε κέντρα φιλοξενίας ανά την ελληνική επικράτεια, σύμφωνα με τα στοιχεία που δόθηκαν στη δημοσιότητα το πρωί της Τετάρτης.
Αναλυτικά:


Αν χρησιμοποιείτε συσκευές της apple ή κάποιον φυλλομετρητή (browser) ή έχετε κάποιο πρόσθετο που μπλοκάρει τα cookies, ορισμένες λειτουργίες του zougla.gr, όπως τα σχόλια, υπάρχει περίπτωση να δυσλειτουργούν. Σε αυτόν τον οδηγό θα βρείτε οδηγίες για το πώς θα ενεργοποιήσετε τα cookies για την καλύτερη εμπειρία στον ιστότοπό μας.