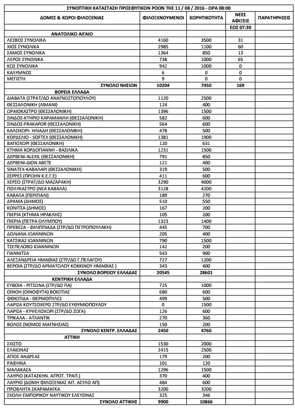
Συνολικά 57.039 πρόσφυγες και μετανάστες παραμένουν σε κέντρα φιλοξενίας ανά την ελληνική επικράτεια, σύμφωνα με τα στοιχεία που δόθηκαν στη δημοσιότητα το πρωί της Πέμπτης.
Παράλληλα, όπως ανακοινώθηκε, από τις αρχές του έτους 3.647 πρόσφυγες και μετανάστες επέλεξαν την εθελούσια επιστροφή στην πατρίδα τους.
Αναλυτικοί πίνακες:


σχόλια αναγνωστών
oδηγός χρήσης

