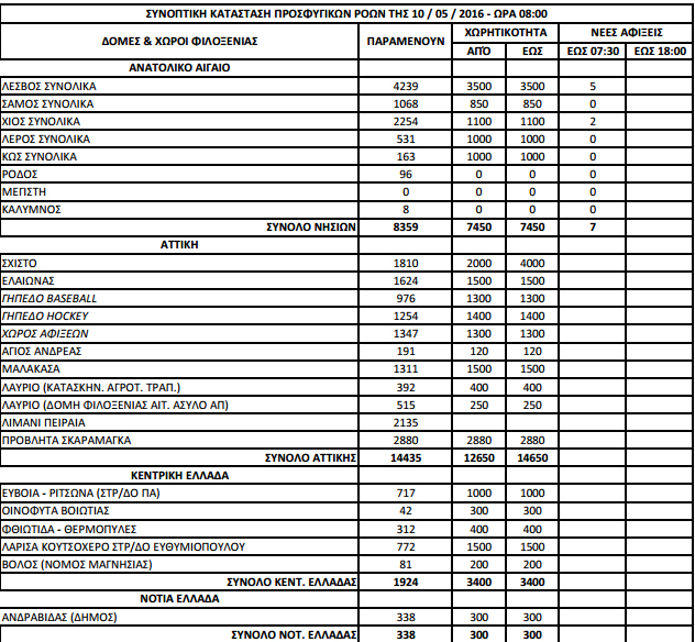
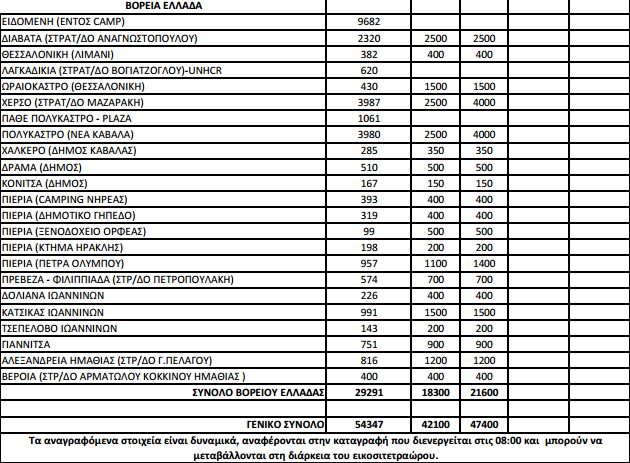
Συνολικά 54.347 πρόσφυγες και μετανάστες βρίσκονται σε διάφορες περιοχές της Ελλάδας, σύμφωνα με τα στοιχεία που δόθηκαν στη δημοσιότητα.
Αναλυτικά:


σχόλια αναγνωστών
oδηγός χρήσης

Συνολικά 54.347 πρόσφυγες και μετανάστες βρίσκονται σε διάφορες περιοχές της Ελλάδας, σύμφωνα με τα στοιχεία που δόθηκαν στη δημοσιότητα.
Αναλυτικά:


Αν χρησιμοποιείτε συσκευές της apple ή κάποιον φυλλομετρητή (browser) ή έχετε κάποιο πρόσθετο που μπλοκάρει τα cookies, ορισμένες λειτουργίες του zougla.gr, όπως τα σχόλια, υπάρχει περίπτωση να δυσλειτουργούν. Σε αυτόν τον οδηγό θα βρείτε οδηγίες για το πώς θα ενεργοποιήσετε τα cookies για την καλύτερη εμπειρία στον ιστότοπό μας.