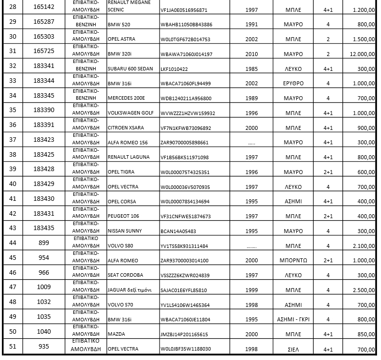
Ο ΟΔΔΥ συνεχίζει τις δημοπρασίες οχημάτων σε όλη την Ελλάδα, προκειμένου να διαθέσει στο κοινό αυτοκίνητα και μοτοσικλέτες προς κυκλοφορία. Αυτήν τη φορά σειρά έχει η Πάτρα, όπου το τελωνείο της Πριν αγοράσετε ένα αυτοκίνητο σε δημοπρασία, καλό είναι να το ελέγξετε… πόλης διοργανώνει την Παρασκευή 26 Φεβρουαρίου δημοπρασία με 51 αυτοκίνητα.
Όπως θα δείτε στη σχετική λίστα, οι τιμές ξεκινούν από τα 300 ευρώ και φτάνουν για πιο σύγχρονα αυτοκίνητα τα 17.000, όπως συμβαίνει για παράδειγμα με μία BMW που εφοδιάζεται με κινητήρα diesel. Τα συγκεκριμένα αυτοκίνητα προέρχονται από κατασχέσεις ή ήταν παρατημένα και προορίζονται για κυκλοφορία.
Για περισσότερες πληροφορίες σχετικά με τα αυτοκίνητα που δημοσιεύει το zougla.gr στην παρακάτω λίστα, μπορείτε να επικοινωνείτε με το τηλέφωνο 2610 315800.
*OI ΦΩΤΟΓΡΑΦΙΕΣ ΕΙΝΑΙ ΕΝΔΕΙΚΤΙΚΕΣ
Διαβάστε επίσης: Δημοπρασία με Mercedes SLK (2.000€), Smart (1.000€), ΒΜW X5 (3.000€) κ.ά.
Διαβάστε επίσης: Βγάζουν σε δημοπρασία scooter με 150 ευρώ και Suzuki GSX1400 με 3.500 ευρώ…










