Επιμέλεια: Λουκάς Παπαλάμπρος
Το sport SUV της ιταλικής φίρμας αναβαθμίστηκε, απέκτησε κινητήρες προδιαγραφών Euro 6D-Final που εξασφαλίζουν χαμηλότερο κόστος χρήσης και προσφέρεται σε πιο ανταγωνιστικές τιμές.
Η Alfa Romeo Stelvio εφοδιάζεται στο σύνολο της γκάμας της με μια σειρά μηχανικών μερών για τη μέγιστη οδηγική απόλαυση, όπως άξονα μετάδοσης από ανθρακονήματα, ανάρτηση Alfa LINKTM, σύστημα πέδησης IBS (brake-by-wire) και προηγμένο αυτόματο κιβώτιο 8 σχέσεων.
Το σύστημα τετρακίνησης Q4 παρέχει τη μέγιστη ασφάλεια σε συνθήκες χαμηλής πρόσφυσης. Τα συστήματα υποβοήθησης του πακέτου «ADAS» κάνουν τις μετακινήσεις πιο άνετες, δίνοντας τη δυνατότητα αυτόνομης οδήγησης επιπέδου 2.
Η οθόνη αφής 8,8 ιντσών εμπλουτίστηκε με νέες λειτουργίες συνδεσιμότητας, ενώ στον εξοπλισμό προστέθηκαν επιπλέον αποθηκευτικοί χώροι, ασύρματη φόρτιση κινητού, αλλά και θύρες USB, συμβατικές και type-C.
Μείωση τιμών έως 10.000 ευρώ

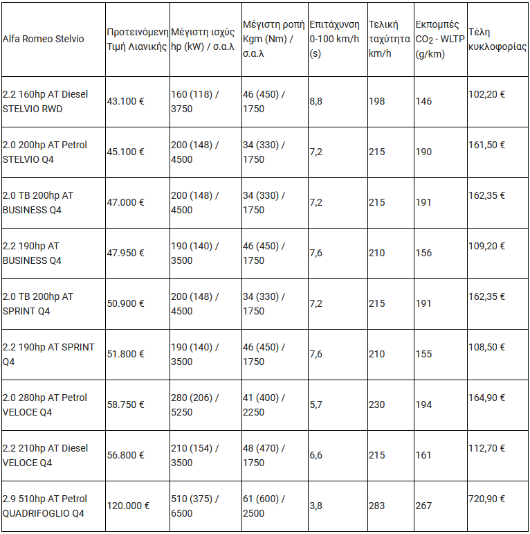
Η εφαρμογή των κινητήρων προδιαγραφών Euro 6D-Final σε όλη την γκάμα της Stelvio προσφέρει την ίδια υψηλή απόδοση -από 160 έως 510 ίππους- με σημαντικά όμως χαμηλότερες τιμές αγοράς, αλλά και 4 χρόνια εγγύηση και δωρεάν οδική βοήθεια.εξαιρετικά χαμηλά τέλη κυκλοφορίας. Με αυτή την αλλαγή, οι εκδόσεις του SUV επωφελούνται με μείωση τιμών που ξεπερνά τις 10.000 ευρώ.
Το μοντέλο διατίθεται πλέον από τις 43.100 ευρώ. Οι χαμηλές εκπομπές ρύπων εξασφαλίζουν και την καταβολή χαμηλών τελών κυκλοφορίας που με εξαίρεση την Quadrifoglio των 510 ίππων, κυμαίνονται μεταξύ 102 και 165 ευρώ.
Αναλυτικά οι προδιαγραφές κάθε έκδοσης

Φθηνότερη πάνω από 7.000€ η Giulia και νέα τιμολογιακή πολιτική από την Alfa Romeo
Το compact crossover της Alfa Romeo ονομάζεται Brennero

