Επιμέλεια Π. Χαλάτσης
Αν και ο Δεκέμβριος του 2024 έκλεισε με άνοδο +5,7% σε σχέση με τον Δεκέμβριο του 2023 ωστόσο η συνολική άνοδος της χρονιάς που πέρασε ήταν οριακή. Σύμφωνα με τα πρωτογενή στοιχεία της ΕΛΣΤΑΤ και την επεξεργασία του ΣΕΑΑ οι ταξινομήσεις καινούργιων οχημάτων τον περασμένο μήνα (Δεκέμβριο) έφθασαν τις 8.706 αυτοκίνητα (το Δεκέμβριο του 2023 είχαμε 8.240) και η άνοδος σε ποσοστά ήταν +5.7%. Σ αυτή την άνοδο του Δεκεμβρίου βοήθησαν κάπως οι προσφορές που έκαναν οι εταιρίες λόγω εορτών.
Αν δούμε ολόκληρη τη χρονιά θα διαπιστώσουμε ότι φέτος η άνοδος -σε σχέση με το 2023- ήταν οριακή. Το 2024 ταξινομήθηκαν 137.101 καινούργια Ι.Χ ( το 2023 ταξινομήθηκαν 134.484 και σε ποσοστά η άνοδος ήταν μόλις 1.9%.

Η Toyota και φέτος ήταν η μεγάλη νικήτρια στις ταξινομήσεις. Με μεγάλη διαφορά ακολούθησε η Suzuki και στην 3η θέση πολύ κοντά στη Suzuki, βρέθηκε η Peugeot.
Ας δούμε αρχικά τις ταξινομήσεις του Δεκεμβρίου:

Η χρονιά που πέρασε σε αριθμούς;

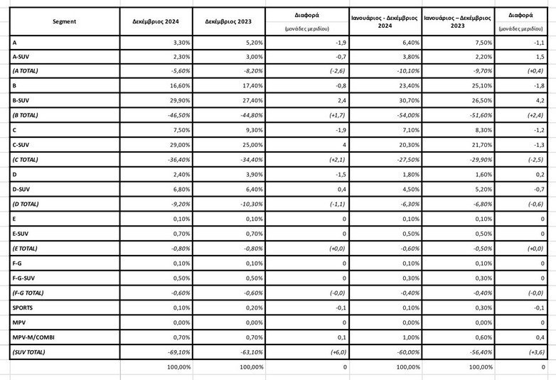
Τις προτιμήσεις των αγοραστών κέρδισε με διαφορά η B Total κατηγορία με ποσοστά 46.5% έναντι 44.8% που σημειώθηκε το 2023. Αν δούμε την περίοδο Ιανουάριος-Δεκέμβριος φέτος το ποσοστό στην B Total κατηγορία ήταν 54% έναντι 51.6% (2023). Η διαφορά ήταν +2.4%
Αναλυτικά:

Τα αυτοκίνητα με υβριδικούς κινητήρες κέρδισαν με μεγάλη διάφορα τις προτιμήσεις των αγοραστών. Φέτος τα υβριδικά (HEV) έφθασαν το 45.6% ( 37.6% ήταν το 2023 ενώ στο σύνολο της χρονιάς είχαμε 12.4% (11.3% το 2023). Το σύνολο της χρονιάς ήταν +1.1% και το μερίδιο αγοράς ήταν 20.4 στην Ε.Ε

Σε επίπεδο ΕΕ, με βάση τα στοιχεία του Ευρωπαϊκού Συνδέσμου Κατασκευαστών Αυτοκινήτων (www.acea.be), η αγορά των επιβατικών κινήθηκε για τον Νοέμβριο ως εξής:

(1) ΕΕ των 27.
(2) Μέλη της ΕΕ ως το 2004.
(3) Νορβηγία, Ισλανδία και Ελβετία.
